G-200&209, Agro Food Park, RIICO Boranada, Jodhpur, India

sales@neogenagro.com

Office Hours: 9:00 AM - 6:00 PM

Get a Quote

Cassia Gum Powder

 


All about Cassia Tora
– The Cassia Tora L., (Cassia obtusifolia L.), Caesalpiniaceae belongs to the Leguminosae family and is popularly seen as a weed or wild crop that grows in tropical regions. It is hardly cultivated and a derivative of the endosperm of Senna obtusifolia or Cassia obtusifolia or Cassia Tora or Cassia Occidentalis. Its special properties are witnessed in a range of commercial and industrial applications as it is an excellent gelling agent, a carminative, a tonic, and above all a stimulant. The Cassia comprises 1-2% volatile cassia oil which is characterized by a very spicy and aromatic flavour. Its constituents include primary chemicals like cinnamaldehyde, gum, tannins, mannitol while the sugars, resins, and mucilage also form a part of its constituency. The refined Cassia tora powder is derived from the cassia tor seeds and the cassia tora splits. These are known to India since ancient times as natural and remedial ingredients. A few other common uses in India include its application as a natural pesticide in organic farms and its roasted seeds are used as coffee substitutes just the way tephrosia seeds are used. The refined Cassia gum powder also finds its importance in the pet industry as the Cassia gum can form gels with colloids like Carrageenan and Xanthan due to its retorting nature. It is also used with guar gum for mining and other industrial uses.

Gelling Properties of the Refined Cassia Gum Powder-The composition of Cassia gum includes at least 75% polysaccharide and a linear backbone chain of mannose with side galactose units. The ratio of Mannose: Galactose is about 5: 1 typically and this subtropical weed is known by different names globally. If there is a high concentration of galactose side chains in the refined cassia gum it can hamper the gelling effect with anionic polymers. Much lesser amounts of the hydrocolloid blend containing the gum are required to attain the desired outcome when compared with carrageenan alone or combinations of carrageenan with other related galactomannans.

REGULATORY INFORMATION OF CASSIA GUM FOR DIFFERENT COUNTRIES

  • Cassia Gum has been widely approved in Europe under the Commission Directive (EEC No. E 499) as is listed in the Annex of the Council Directive (70/524/EEC). It is recognized as a stabilizer, thickener as well as a gelling agent used in the manufacture of pet canned food for dogs and cats.
  • In Japan, the Cassia Gum is accepted in the role of a food additive by the Ministry of Health and Welfare Announcement No. 160 (10 August 1995).
  • The US experts of toxicology, pharmacology, and food science have approved it as a thickening agent in the pet food category. The Food Industry, Pharmaceutical industry, Ecuadorian culture, and cosmetics are a few other areas where Cassia gum is used extensively.
  • There is a lot of available data that suggests the safety of structural gums and the Cassia gum. They demonstrate a lack of toxic effects on animals. This supports its use as a thickening agent in human and pet foods along with its safe usage (GRAS- Globally Recognised as Safe).

ABBREVIATIONS USED FOR REFERENCE

A few used abbreviations include-

  • FFDCA, Federal Food, Drug, and Cosmetic Act
  • GRAS, generally recognized as safe
  • NTP, National Toxicology Program
  • OECD, Organisation for Economic Cooperation and Development
  • PADI, possible average daily intake

Cassia Gum is simply the purified flour extracted out of the endosperm of the seeds of Cassia tora Cassia obtusifolia of the Leguminosae family. Seeds of the Cassia occidentalis are considered as a contaminant and the gum is acclaimed globally as a thickener, emulsifier, foam stabilizer, moisture retention agent. In frozen dairy products, meat, and poultry products it is used as a texturizing agent. Combining it with hydrocolloids such as Carrageenan or Xanthan gum forms a gel-like substance.

CHEMICAL STRUCTURE AND PHYSICAL PROPERTIES OF CASSIA GUM

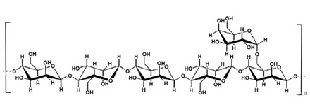
The chemical composition of this product shows its rich content value of polysaccharides. It is made up of 75% of high molecular weight which is nearly 2000000-3000000 polysaccharides with a linear chain of 1.4-β-D-mannopyranose units. It also contains 1, 6 linked α-D-galactopyranose units and the galactose mannose ratio is about 5:1. It contains exclusive saccharide composition with 77.2-78.9% of mannose and 15.7-14.7% of galactose and 7.1-6.3% of glucose and can be applied with the following formula (C6H10O5) n.H2O similar to other types of saccharides. The overall chemical composition reveals this product structure to be identical to that of the carob bean, tara, and guar.

STRUCTURAL FORMULA OF CASSIA GUM

GEL SYNERGY WITH CARRAGEENAN OR XANTHAN GUM

The Cassia Gum can help in the formulation of firm thermoplastic gels when combined with carrageenan forms. If the element of cassia gum increases, the gel concentrate in it also increases. The combination of Cassia gum and xanthan gum cannot form gels individually but they form an elastic and rubbery gel when combined. Cassia can easily form gels with Xantham gum than other galactomannans while providing lower hydrocolloid levels in finished formulations. The unique branched polysaccharide galactose/mannose structure of refined cassia gum powder helps to enable this function.

CASSIA GUM REGULATORY STATUS

  • United States TSCA
  • Canada NDSL
  • Korea ECL
  • Australia AICS
  • Europe EINECS
Top