- Extracted from seed of sesbania.
- Seeds are derived from natural plant of sesbania.
- Molecular weight is approx 5,00,000.
- Milky white powder.
- Soluble in cold water.
|
 |
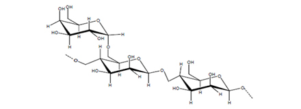
STRUCTURE OF SESBANIA GUM
 |
- Natural Polymer.
- Galactomannan.
- Composed of galactose to mannose where ratio is 1.2:2.2.
- Mannose main chains with glucose side chain α(1 —–> 4) glucoside andβ (1 —–> 6) glucoside.
|